The pioneer of modern acoustics

Figure 24: Wallace Clement Sabine

Acoustics has only been recognised as a specific science for just over a century.

Wallace Sabine was an assistant professor of physics at Harvard at the time the university opened their new art museum. Within this museum was a lecture hall (Fogg Hall), but it was found to be totally unusable for lectures because of the terrible echo.

Sabine was asked to investigate the behaviour of sound within the Fogg Lecture Hall in order to rescue the use of that room, and thus the science of architectural acoustics was born.

Armed with nothing more than a portable pipe organ, some keen-eared assistants and a stopwatch, Sabine set about to determine what factors were involved in controlling the length of time it took for a sound to die away in the hall.

After making hundreds of measurements in various buildings at Harvard, Sabine discovered that the reverberation time, as he called it, was related only to the volume of the room, and the absorbency of the materials on the room surfaces.

As his reference point, Sabine decided to use a 512Hz note. He then timed how long it took the sound to die away by 60 decibels: in other words, to complete inaudibility.

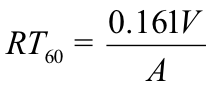
Equation 18: Sabine’s equation

In October 1898, after thousands of painstaking measurements, Sabine published his equation for calculating the reverberation time of a room:

The reverberation time (RT) in seconds is proportional to the ratio of the room volume V (in cubic metres) and the total absorption A of all the surfaces in the room. The constant of proportionality is based on the speed of sound, but for the purposes of rooms at normal atmospheric pressure and temperature (20°C), 0.161 is an acceptable value.

In order to arrive at this equation, Sabine had to make several simplifying assumptions. These were:

  1. The sound field in the room is perfectly diffuse
  2. Absorption is evenly distributed around the room
  3. The reverberation time obtained for a 512Hz tone would be representative of all frequencies in the room.

Figure 25: The New Boston Music Hall designed by Wallace Sabine

Tradition has placed such significance on Sabine’s work that his equation has become the starting point for acoustic calculations for over a century, and his reference frequency of 512Hz (more recently, 500Hz) has become the standard reference for quoting reverberation time.

Because of his pioneering work, Sabine was asked to assist in the design the New Boston Music Hall which was first opened to the public in October 1900.

This building is still regarded is one of the three finest concert halls anywhere in the world.

Sabine’s reverberation time over 60 decibels (or RT60) quantifies one of the fundamental acoustics properties of a room.

However, it is very important to understand the consequences of Sabine’s first assumption. Because he was taking a statistical approach to calculating reverberation time, he had to assume that there was a perfectly even distribution of sound energy within the room — and this is the key point.

It is quite inappropriate to use Sabine’s equation to predict the reverberation time of a room that does not have a well diffused sound field. Unfortunately, this fact seems to be poorly understood.

The result of misapplying Sabine’s equation (or anyone else’s statistically based reverberation time equation for that matter) is that there will be a significant discrepancy between the measured and predicted RT60 times of a non-diffuse room. This discrepancy can often lead to confusion which in turn, can lead to illogical conclusions either about the general usefulness of RT prediction, or the type of treatment required in the room.